潤錦提示:激光電鍍新技術及國內外現狀
新聞來源:本站發布日期:2015-11-25發布人:admin
深圳市潤錦科技發展有限公司——專業的一站式電鍍原材料供應平臺
潤錦解析:
工程技術結合而產生的新領域的研究現狀。分別介紹了早期工作、近期研究成果以及今后的發展方向。這種新技術特別適用于微電子工業的電路設計和修復及航天等技術。
關鍵詞:激光電鍍、電鍍、微電子、新技術
正文:
近年來 ,由于電子產品小型化和高度集成化的迅速發展 ,急需在微小部分進行表面加工。因此 ,激光增強電鍍和刻蝕應用于微電子領域中的局部沉積或刻蝕,已愈來愈引起人們的重視。在液相和氣相中均可利用激光進行表面處理,具有代表性的液相激光表面處理是激光電鍍和激光刻蝕。當用一種連續激光或脈沖激光照射在電解池中的陰極表面上時,不僅能大大提高金屬的沉積速度,而且能采用計算機控制激光束的運動軌跡得到預期的復雜的幾何圖形。激光電鍍是近幾年來才發展起來的一種高速電鍍新技術,引起了人們日益廣泛的興趣。
激光是能量密度很高的熱源,而且具有很好的方向性、單色性和相干性。利用這些特性,對金屬或零件表面進行強化處理(包括激光相變硬化 激光合金化和激光熔覆等) 可以改變金屬或零件表面的微觀結構,改善零部件的抗磨損,耐腐蝕和抗疲勞性能激光加工的精度高、能量集中,對零件的熱影響小。
電鍍和化學鍍作為傳統的表面技術經過了長期的發展,工藝已經非常成熟。研究人員將激光和傳統的表面技術結合,對這個交叉領域進行了許多研究。
激光對基體表面進行照射可以發生在電鍍或化學鍍過程中,也可以在這之前或之后,因此可以依據激光處理介入的階段不同分為鍍前、鍍中和鍍后激光處理。 其中,對于鍍后激光處理可以根據鍍層與基體的結合情況分成三類:第一類,如果鍍層和基體被激光熔化,并且鍍層完全被基體稀釋,則是激光表面合金化。第二類,如果鍍層和基體部分熔化,鍍層被基體部分稀釋,鍍層與基體界面為冶金結合,則是預置式的激光熔覆。第三類,如果鍍層和基體沒有熔化沒有冶金結合 則是激光熱處理。第一類和第二類情況鍍層是激光加工的預置層,是激光加工工藝的一部分。第三類是為了提高鍍層的使用性能,是電鍍或化學鍍工藝的一部分 影響鍍層與基體的結合情況的因素主要有基體與鍍層的材料,鍍層的厚度和激光的比能量Es=P/DV(P為激光功率、D為激光光斑面積、V為激光掃描速度) 作為激光表面合金化、激光熔覆,激光梯度熔覆前的預置涂層,鍍層可以由一層或數層不同的具有一定厚度的材料組成。
常規電鍍在浸于電解液中的兩個電極之間進行,把待鍍金屬基體放在含有某種金屬的鹽類溶液中,借助于外電源驅動并通過電解作用使金屬離子在基體表面還原沉積成金屬鍍層。對速一電解沉積過程的分析研究表明要在陰極基體上形成電鍍層主要包括離子遷移、電荷轉換和晶格化三個過程,而沉積速率主要由離子遷移速率和電荷交換速率所決定。進一步研究表明離子遷移過程主要有擴散、對流和電遷移三種方式,要提高這三種方式的速率可采取下列措施(1 )提高電解液溫度,(2)對電解液進行攪拌,(3)增加極間電壓或減少極區距離,(4)加大電鍍液濃度。
激光電鍍的基本原理,激光器輸出的激光束經透鏡聚焦后投射到陰極表面,在陰極附近的微小區域里形成極高的光功率密度。受光照的陰極材料吸收激光能量后,使電解液—陰極界面附近的局部微小區域里的溫度驟然升高,產生陡峭的溫度梯度并在電解液中引起強烈對流,從而攪拌了溶液。溫升和攪拌造成局部區域里離子遷移率增加,陰極還原反應增強和平衡電位正向漂移,最后導致電鍍速率的增加。因此,激光電鍍的機理可概括為;陰極吸收激光能量后引起光致溫度驟升,造成局部范圍里電化學反應大大增強,導致在陰極表面局部受光照區域沉積過程的劇烈加速。這種對激光引發的電鍍增強效應的理論解釋稱為激光電鍍的熱模型。還有一種用來解釋電鍍增強效應的光模型,這一模型認為電鍍反應的增強來源于光解效應,亦即激光促進了電解液離子自分解引起電化學反應速度的增大,從而導致電鍍速率的增加。
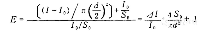
激光束經過光學系統聚焦后能達到極高的功率(能量)密度,例如功率為1瓦的氫激光器的輸出光束經過透鏡聚焦成直徑為幾十微米的光點,其功率密度可達104-105瓦/厘米。受光照的陰極材料吸收激光能量后,將使電解液一陰極界面附近的局部微小區域里的溫度驟然升高而產生陡峭的溫度梯度,并在電解液中引起強烈對流,從而攪拌了溶液。溫升和攪拌造成局部區域里離子遷移率增加,陰極還原反應增強和平衡電位的正向漂移,最后導致陰極受光照局部區域沉積速率的升高和電鍍電流的增加。我們定義增強比E等于激光照射時的電鍍電流密度與無激光照射時背景電鍍電流密度之比, 它可以用下列公式表示:

激光增強電鍍是以高密度激光束輻照液 / 固分界面,造成局部溫升和微區攪拌,從而誘發或增強輻照區的化學反應,引起液體物質的分解,并在固體表面沉積出反應生成物。1978年,美國IBM公司首先研究了激光電鍍,應用1.5W的氫離子激光器或氫離子激光器,將聚焦后的激光束照射在鎢陰極上,鎳的沉積速度比不用激光束提高了600—1000倍。
深圳市潤錦科技發展有限公司
潛心十年,打造專業的一站式電鍍原材料供應商!!!
【網站】: m.willowglass.cn
【微博】:新浪微博 @深圳市潤錦科技發展有限公司
【熱線】:400-023-6032